From Filing to Trial Day: The Life Cycle of a Civil Case

This flow chart presents the procedural journey of a civil case, beginning with the filing of the Writ and Statement of Claim and concluding at the trial stage. It maps out the roles of the parties, the court’s directions, and the applicable timelines under the Rules of Court 2012 and Practice Direction 2/2025, all designed to keep the case moving efficiently and avoid unnecessary delays.

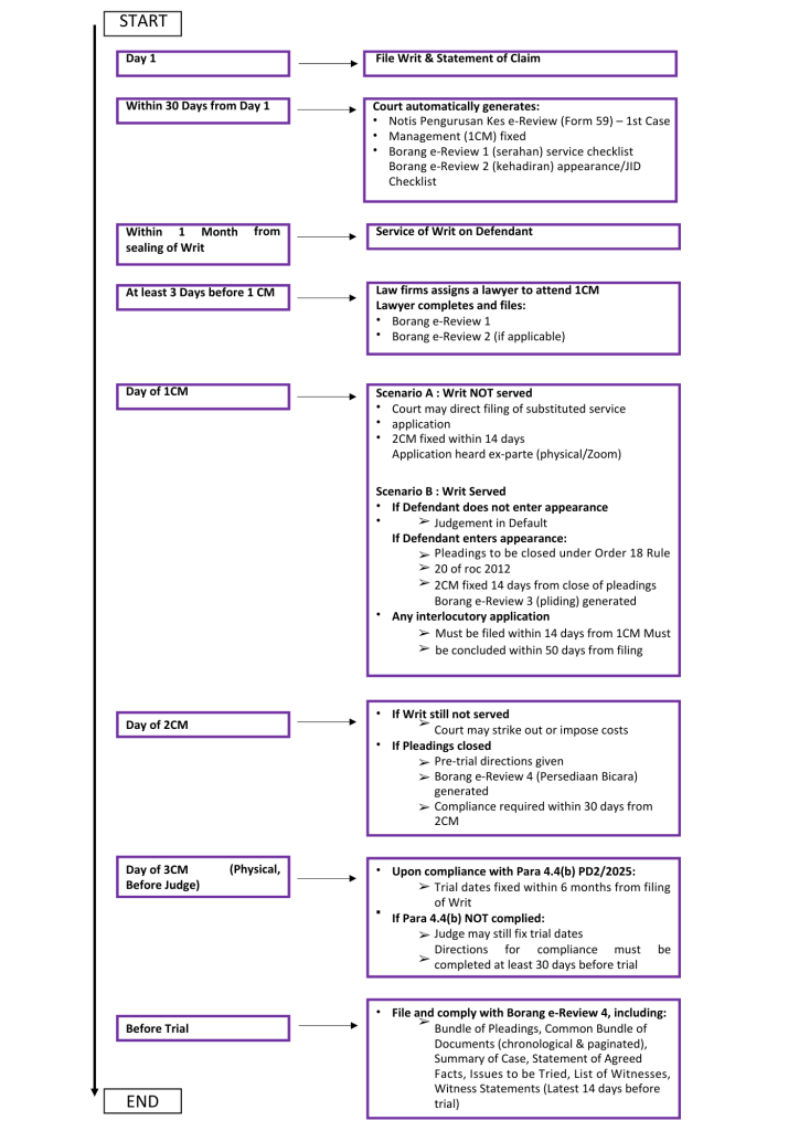
★ The journey starts on Day 1, when the plaintiff files the Writ and Statement of Claim.

Within the next 30 days, the court steps in automatically by generating the Notice of

Case Management e-Review (Form 59) and fixing the First Case Management (1CM). At

this point, the relevant e-Review forms and service checklists are also issued, setting the

administrative groundwork for the case.

★ Next, within one month from the sealing of the Writ, the plaintiff must ensure that the Writ is served on the defendant. At least three days before the 1CM, a lawyer is assigned to

attend, and Borang e-Review 1 and 2 must be completed and filed. This ensures that the

court is informed and the parties are prepared before the first case management

session.

★ The 1CM itself may take different turns. If the Writ has not been served, the court may

direct the filing of an application for substituted service and fix a Second Case

Management (2CM) within 14 days. If the Writ has been served and the defendant fails

to enter appearance, the plaintiff may obtain judgment in default. However, if the

defendant does enter appearance, pleadings must be closed in accordance with Order

18 Rule 20 of the Rules of Court 2012, after which a 2CM is fixed within 14 days. Any

interlocutory application must also be filed within 14 days from the 1CM and concluded

within 50 days from filing, keeping the process tightly controlled.

★ During the 2CM, the court reviews progress. If service of the Writ is still outstanding, the

court may strike out the action or impose costs. Where pleadings have been closed, the

court issues pre-trial directions and generates Borang e-Review 4 (Persediaan Bicara),

which must be complied with within 30 days.

★ The case then advances to the Third Case Management (3CM), conducted physically

before a judge. Upon compliance with Paragraph 4.4(b) of Practice Direction 2/2025, the

court will fix the trial dates within six months from the filing of the Writ. Even where there

is non-compliance, the judge retains discretion to fix trial dates, provided that all

outstanding directions are completed at least 30 days before the trial.

★ Before the trial begins, parties must fully comply with Borang e-Review 4, which includes

the Bundle of Pleadings, Common Bundle of Documents, Summary of Case, Statement

of Agreed Facts, Issues to be Tried, List of Witnesses, and Witness Statements.

Importantly, witness statements must be filed no later than 14 days before trial, ensuring

that the court and parties are well prepared.

In conclusion, the flow chart demonstrates a structured and time-bound approach to civil litigation, emphasising early case management, strict compliance with timelines, and readiness for trial. The staged Case Management process ensures that issues are narrowed, procedural matters are resolved early, and cases progress efficiently towards trial, in line with the objectives of the Rules of Court 2012 to achieve a just, expeditious, and economical resolution of disputes.

Leave a Reply

Your email address will not be published. Required fields are marked *